切换至 "中华医学电子期刊资源库"

中华临床实验室管理电子杂志 ›› 2025, Vol. 13 ›› Issue (03) : 149 -158. doi: 10.3877/cma.j.issn.2095-5820.2025.03.004

实验研究

不同临床特征和内分泌治疗药物对乳腺癌患者凝血功能的影响
吕冉1, 林晓东2, 宋金龙1, 陈婉君1, 韩秀晶1,()   
  1. 1 510120 广东 广州,广州医科大学附属第一医院检验科
    2 510120 广东 广州,广州医科大学附属第一医院病理科
  • 收稿日期:2024-07-09 出版日期:2025-08-28
  • 通信作者: 韩秀晶
  • 基金资助:
    广州市科学技术局市校(院)联合资助项目(202201020426)

The impact of different clinical characteristics and endocrine therapies on coagulation in breast cancer patients

Ran Lyu1, Xiaodong Lin2, Jinlong Song1, Wanjun Chen1, Xiujing Han1,()   

  1. 1 Laboratory department of the First Affiliated Hospital of Guangzhou Medical University, Guangzhou Guangdong 510120, China
    2 Pathology department of the First Affiliated Hospital of Guangzhou Medical University, Guangzhou Guangdong 510120, China
  • Received:2024-07-09 Published:2025-08-28
  • Corresponding author: Xiujing Han
引用本文:

吕冉, 林晓东, 宋金龙, 陈婉君, 韩秀晶. 不同临床特征和内分泌治疗药物对乳腺癌患者凝血功能的影响[J/OL]. 中华临床实验室管理电子杂志, 2025, 13(03): 149-158.

Ran Lyu, Xiaodong Lin, Jinlong Song, Wanjun Chen, Xiujing Han. The impact of different clinical characteristics and endocrine therapies on coagulation in breast cancer patients[J/OL]. Chinese Journal of Clinical Laboratory Management(Electronic Edition), 2025, 13(03): 149-158.

目的

分析不同临床特征和内分泌治疗药物对乳腺癌患者凝血功能的影响。

方法

回顾性分析2016至2020年广州医科大学附属第一医院收治的209例女性乳腺浸润性导管癌患者临床资料和病理特征与凝血的关系,并进一步分析不同内分泌治疗药物治疗前后患者的凝血相关指标变化。

结果

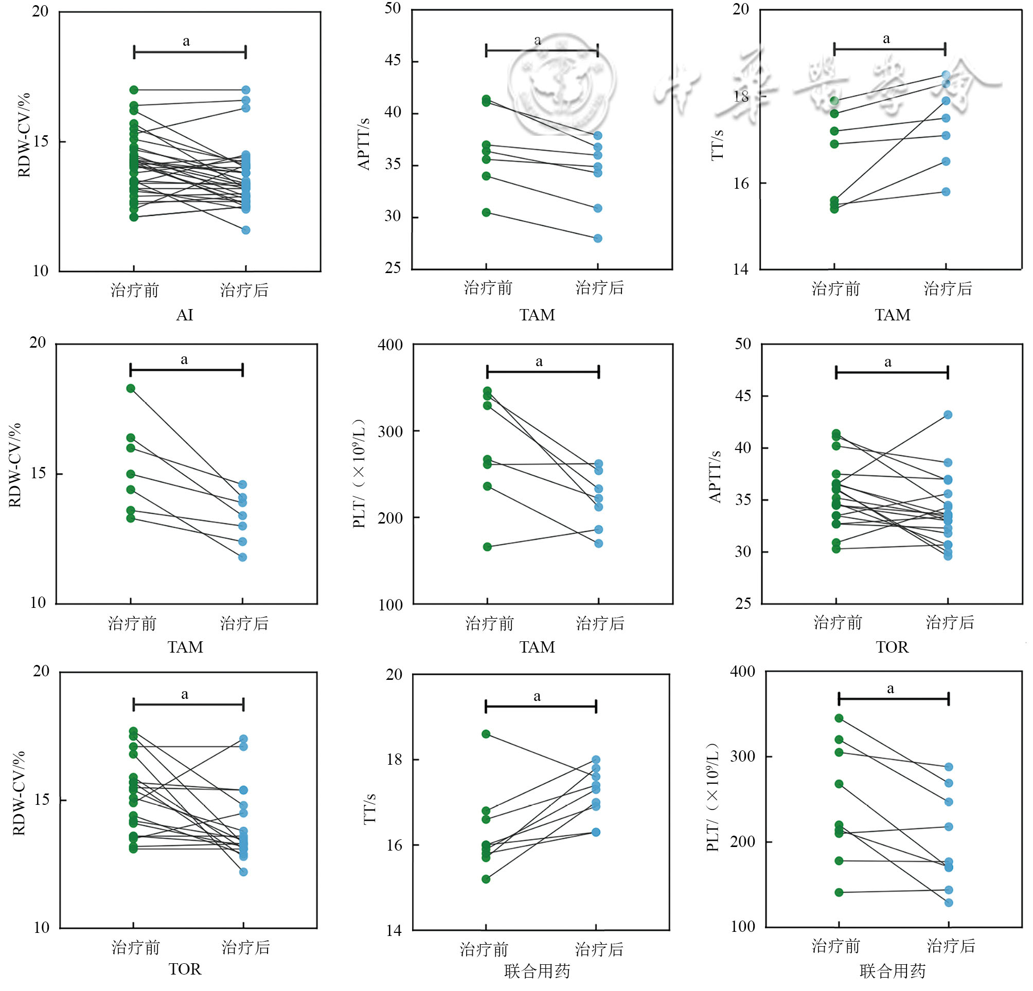
治疗前,209例乳腺浸润性导管癌患者中,年龄>55岁的纤维蛋白原(FIB)、凝血酶时间(TT)水平高于年龄≤55岁的患者,绝经患者的FIB、TT水平高于未绝经患者;淋巴结转移组与未转移组相比,凝血指标差异无统计学意义(P>0.05);TNM分期Ⅲ~Ⅳ期患者的血浆凝血酶原时间、国际标准化比值、TT和PLT高于Ⅰ~Ⅱ期患者,凝血酶原活动度低于Ⅰ~Ⅱ期患者(P<0.05);雌激素受体、孕激素受体、人表皮生长因子受体-2、Ki-67抗原不同表达强度之间相比,各项凝血指标、PLT值和红细胞分布宽度-变异系数(RDW-CV)差异无统计学意义(P>0.05)。内分泌药物治疗前后相比,芳香化酶抑制剂(AI)组患者治疗后RDW-CV低于治疗前(P<0.05);他莫昔芬(TAM)组患者治疗后活化部分凝血酶原时间(APTT)、RDW-CV和PLT值低于治疗前,TT高于治疗前(P<0.05);托瑞米芬(TOR)组患者治疗后APTT和RDW-CV低于治疗前(P<0.05);联合用药组患者治疗后TT高于治疗前,PLT值低于治疗前,差异均有统计学意义(均P<0.05)。

结论

乳腺浸润性导管癌患者年龄高、绝经、TNM分期高是高凝状态的危险因素。TAM和TOR具有促凝作用,联合用药有促凝趋势,AI对凝血无明显影响。监测凝血指标,对乳腺浸润性导管癌患者治疗药物的选择和优化治疗方案有积极意义。

Objective

To analyze the impact of different clinical characteristics and endocrine drugs on blood coagulation in breast cancer patients.

Methods

The clinical data and pathological features of 209 female patients with breast invasive ductal carcinoma treated at the First Affiliated Hospital of Guangzhou Medical University from 2016 to 2020 were retrospectively analyzed. Associations between clinicopathological features and coagulation parameters were evaluated, with longitudinal assessment of coagulation changes before and after endocrine therapy.

Results

Among the 209 patients with invasive ductal carcinoma of the breast prior to treatment, the levels of fibrinogen (FIB) and thrombin time (TT) were higher in patients older than 55 years compared to those 55 years or younger. Additionally, postmenopausal patients exhibited higher levels of FIB and TT than non-menopausal patients. However, there was no significant difference in coagulation indicators between the lymph node metastasis group and the non-metastatic group (P>0.05). In patients with tumor node metastasis classification (TNM) stage Ⅲ-Ⅳ breast cancer, levels of prothrombin time, international normalized ratio, TT, and PLT were higher than those in stage Ⅰ-Ⅱ patients. Conversely, prothrombin time test activity levels were lower (P<0.05). There was no significant difference in various coagulation indicators, PLT value, and red cell distribution width-coefficient of variation (RDW-CV) between different expression intensities of estrogen receptor, progestin recetor, human epidermal growth factorreceptor 2, and Ki-67 (P>0.05). After endocrine therapy, RDW-CV levels were lower in patients treated with aromatase inhibitor (AI) compared to pre-therapy levels (P<0.05). The levels of activated partial thromboplastin time (APTT), RDW-CV and PLT in patients treated with tamoxifen (TAM) were lower while TT was higher than those in pre-therapy (P<0.05). The levels of APTT and RDW-CV in patients treated with toremifene (TOR) were lower than those in pre-therapy (P<0.05). The TT of patients receiving combination therapy was higher, while the PLT level was lower than that in pre-therapy (P<0.05).

Conclusions

Advanced age, menopause and higher TNM stage are risk factors for hypercoagulability in patients with invasive ductal carcinoma of the breast. TAM and TOR exert procoagulant effects, and the combination therapy has a tendency to promote coagulation, while AI minimally affects coagulation. Monitoring the coagulation indicators is essential for selecting treatment options and optimizing care for patients with invasive ductal carcinoma of the breast.

表1 患者一般资料及其他临床病理特征
临床特征 入组患者(n=209)/例(%) 接受内分泌治疗(n=81)
Ⅰ~Ⅱ期/例(%) Ⅲ~Ⅳ期/例(%)
年龄/岁
≤55 125(59.8) 40(58.0) 6(50.0)
>55 84(40.2) 29(42.0) 6(50.0)
淋巴结转移
101(48.3) 44(63.8) 1(8.3)
108(51.7) 25(36.2) 11(91.7)
TNM分期
Ⅰ~Ⅱ期 140(67.0) 69(100.0) /
Ⅲ~Ⅳ期 69(33.0) / 12(100.0)
月经状态
已绝经 121(57.9) 43(62.3) 9(75.0)
未绝经 88(42.1) 26(37.7) 3(25.0)
ER状态
阴性 61(29.2) 4(5.8) 3(25.0)
阳性 148(70.8) 65(94.2) 9(75.0)
PR状态
阴性 93(44.5) 20(29.0) 3(25.0)
阳性 116(55.5) 49(71.0) 9(75.0)
Her-2表达
0 38(18.2) 15(21.7) 3(25.0)
1+ 47(22.5) 18(26.1) 0(0.0)
2+ 60(28.7) 26(37.7) 3(25.0)
3+ 64(30.6) 10(14.5) 6(50.0)
Ki-67抗原
11(5.3) 1(1.4) 1(8.3)
低表达 13(6.2) 6(8.7) 1(8.3)
高表达 102(48.8) 27(39.1) 7(58.3)
中等表达 83(39.7) 35(50.7) 3(25.0)
内分泌治疗
90(43.1) 0(0.0) 0(0.0)
119(56.9) 69(100.0) 12(100.0)
治疗药物
92(44.0) 0(0.0) 0(0.0)
AI 58(27.8) 34(49.3) 7(58.3)
TAM 10(4.8) 7(10.1) 1(8.3)
TOR 32(15.3) 19(27.5) 2(16.7)
联合用药 17(8.1) 9(13.0) 2(16.7)
静脉血栓
206(98.6) 68(98.6) 12(100.0)
3(1.4) 1(1.4) 0(0.0)
图1 不同临床特征对部分凝血相关参数的影响 注:与≤55岁组比较,aP<0.05;与未绝经组比较,aP<0.05;与Ⅰ~Ⅱ期组比较,aP<0.05。
表2 乳腺浸润性导管癌患者基本临床特征与凝血相关指标的比较分析(n=209)
指标 年龄/岁 月经状态
≤ 55(n=125) >55(n=84) Z/t P 已绝经(n=121) 未绝经(n=88) Z/t P
PT/s 13.10(12.80,13.60) 13.10(12.73,13.70) -0.224 0.823 13.10(12.75,13.60) 13.25(12.80,13.70) -1.187 0.235
INR 1.00(0.96,1.04) 0.99(0.96,1.04) -0.127 0.899 0.99(0.96,1.04) 1.01(0.96,1.05) -1.065 0.287
PTTA/% 100.82±11.11 101.21±12.37 0.153 0.879 102.00(94.00,108.50) 99.50(92.25,107.00) -1.158 0.247
APTT/s 36.90(35.10,39.55) 36.85(34.43,38.78) -1.087 0.277 36.90(34.50,38.75) 36.95(35.13,39.83) -1.356 0.175
FIB/g/L 3.28(2.84,3.79) 3.76(3.35,4.25) -4.903 <0.001 3.68(3.30,4.11) 3.18(2.81,3.77) -4.987 <0.001
TT/s 16.6(16.00,17.20) 17.00(16.33,17.50) -2.794 0.005 16.90(16.35,17.50) 16.50(16.00,17.15) -3.288 0.001
PLT/(×109/L) 262.83±59.69 245.83±67.05 1.920 0.056 251.00(210.00, 283.50) 257.92(225.25, 301.25) -1.460 0.144
RDW-CV/% 13.40(12.70,14.20) 13.40(13.00,14.08) -0.859 0.391 13.40(12.90,14.00) 13.40(12.80,14.65) -0.154 0.877
指标 淋巴结转移 TNM 分期
无(n=101) 有(n=108) Z/t P Ⅰ~Ⅱ(n=140) Ⅲ~Ⅳ(n=69) Z/t P
PT/s 13.00(12.80,13.60) 13.30(12.80,13.70) -1.459 0.145 13.10(12.70,13.60) 13.30(12.95,13.80) -2.950 0.003
INR 0.99(0.95,1.03) 1.01(0.96,1.05) -1.546 0.122 0.99(0.94,1.03) 1.01(0.98,1.06) -2.912 0.004
PTTA/% 103.00(94.50,109.50) 99.00(92.00,107.00) -1.547 0.122 102.80±11.36 97.28±11.27 3.314 0.001
APTT/s 36.70(34.60,38.55) 37.10(35.10,39.90) -1.361 0.174 36.70(34.80,38.80) 37.70(35.10,40.50) -1.570 0.116
FIB/g/L 3.48(2.97,4.03) 3.49(3.05,3.95) -0.199 0.842 3.42(2.99,3.90) 3.56(3.15,4.20) -1.807 0.071
TT/s 16.70(16.20,17.30) 16.75(16.03,17.68) -0.653 0.514 16.60(16.10,17.30) 17.10(16.2,17.80) -2.535 0.011
PLT/(×109/L) 248.00(210.00,282.00) 259.00(222.50,298.75) -1.391 0.164 247.50(210.00,282.50) 263.00(228.50,303.00) -2.037 0.042
RDW-CV/% 13.40(12.80,13.75) 13.40(12.90,14.58) -1.303 0.193 13.40(12.90,14.00) 13.40(12.80,14.55) -0.636 0.525
表3 年龄与月经状态、TNM分期的相关性分析/例(%)
表4 乳腺浸润性导管癌患者病理特征与凝血相关指标的比较分析(n=209)
指标 ER状态 PR状态
阴性(n=61) 阳性(n=148) Z/t P 阴性(n=93) 阳性(n=116) Z/t P
PT/s 13.10(12.75,13.65) 13.10(12.80,13.68) -0.459 0.647 13.18±0.76 13.24±0.67 -0.656 0.512
INR 0.99(0.96,1.05) 1.00(0.96,1.04) -0.184 0.854 0.99(0.95,1.04) 1.00(0.96,1.04) -0.622 0.534
PTTA/% 101.23±13.13 100.87±10.96 0.202 0.840 101.47±12.27 100.58±11.07 0.554 0.580
APTT/s 36.40(34.10,39.00) 36.95(35.10,39.38) -1.284 0.199 36.70(34.45,38.75) 37.05(35.13,39.68) -1.672 0.094
FIB/(g/L) 3.51(3.22,4.14) 3.49(2.92,3.94) -1.615 0.106 3.43(3.10,3.91) 3.50(2.97,4.04) -0.137 0.891
TT/s 16.70(16.10,17.55) 16.70(16.20,17.30) -0.031 0.975 16.8(16.20,17.40) 16.70(16.00,17.40) -0.311 0.756
PLT/(×109/L) 258.00(234.50,298.00) 250.50(207.50,291.50) -1.707 0.088 258.00(217.00,291.00) 249.50(212.00,292.75) -0.733 0.464
RDW-CV /% 13.40(12.90,15.10) 13.40(12.80,13.98) -1.279 0.201 13.40(12.90,14.20) 13.40(12.80,14.08) -1.272 0.203
指标 Her-2表达
0(n=38) 1+(n=47) 2+(n=60) 3+(n=64) H P
PT/s 13.20(12.78,13.68) 13.10(12.80,13.70) 13.25(12.83,13.70) 13.10(12.60,13.60) 1.106 0.776
INR 0.99(0.96,1.06) 0.99(0.96,1.04) 1.00(0.96,1.04) 0.99(0.94,1.05) 0.562 0.905
PTTA/% 100.71±13.92 101.68±10.35 100.17±10.78 101.38±11.93 0.677 0.879
APTT/s 36.45(34.15,39.48) 37.10(35.10,39.90) 36.90(35.15,38.60) 36.45(34.43,39.08) 1.599 0.660
FIB/(g/L) 3.68(3.01,4.14) 3.79(3.24,4.05) 3.39(2.87,3.72) 3.34(3.04,3.93) 7.565 0.056
TT/s 16.60(16.00,17.20) 16.70(16.30,17.40) 16.70(16.20,17.30) 16.80(16.00,17.68) 1.009 0.799
PLT/(×109/L) 242.00(204.75,293.25) 255.84(224.00,285.00) 248.00(201.00,298.00) 260.50(225.25,292.75) 1.847 0.605
RDW-CV /% 13.05(12.70,14.28) 13.40(13.00,14.20) 13.40(12.80,14.00) 13.40(12.93,14.58) 1.985 0.576
指标 Ki-67
无(n=11) 低表达(n=13) 高表达(n=102) 中介(n=83) H/F P
PT/s 13.25±0.62 13.39±0.56 13.17±0.77 13.23±0.67 0.396 0.756
INR 1.01±0.06 1.03±0.06 1.00±0.06 1.00±0.07 0.678 0.566
PTTA/% 99.73±9.59 96.23±9.05 101.80±12.56 100.87±10.92 0.942 0.421
APTT/s 35.10±2.24 38.26±2.02 37.49±4.76 37.49±4.76 1.416 0.239
FIB/(g/L) 3.08(2.68,3.58) 3.43(2.99,4.03) 3.48(3.15,3.91) 3.56(2.98,4.04) 2.132 0.546
TT/s 16.70(16.00,16.80) 16.60(16.25,17.05) 16.80(16.18,17.60) 16.80(16.10,17.40) 2.240 0.524
PLT/(×109/L) 246.52±17.53 252.31±21.36 261.58±5.81 250.57±7.36 0.549 0.650
RDW-CV /% 13.4(13.30,16.50) 13.20(12.45,14.35) 13.40(12.80,14.53) 13.40(12.90,13.80) 2.693 0.441
图2 不同内分泌治疗药物治疗前后凝血相关参数的变化 注:与治疗前比较,aP<0.05。
表5 Ⅰ~Ⅱ期患者内分泌治疗前后凝血相关指标水平比较(n=69)
项目 PT/% INR
AI组(n=34) TAM组(n=7) TOR组(n=19) 联合用药组(n=9) AI组(n=34) TAM组(n=7) TOR组(n=19) 联合用药组(n=9)
治疗前 13.10(12.48,13.70) 13.00(12.60,13.30) 13.50(12.80,13.80) 13.50(12.50,13.85) 1.00±0.08 0.97(0.94,1.01) 1.01±0.06 1.00(0.96,1.07)
治疗后 13.05(12.58,13.50) 12.80(12.50,13.10) 13.00(12.70,13.40) 13.10(12.45,13.35) 0.99±0.07 0.97(0.93,0.97) 0.99±0.05 1.01(0.94,1.03)
Z -0.300 -0.593 -1.653 -0.949 0.665 -1.051 1.288 -1.011
P 0.764 0.553 0.098 0.343 0.511 0.293 0.214 0.312
项目 PTTA/% APTT/s
AI组(n=34) TAM组(n=7) TOR组(n=19) 联合用药组(n=9) AI组(n=34) TAM组(n=7) TOR组(n=19) 联合用药组(n=9)
治疗前 102.32±13.90 106.14±7.65 99.11±9.49 99.00(89.00,108.50) 36.85(34.23,38.78) 36.40(34.00,41.10) 35.20(33.50,36.60) 38.98±3.04
治疗后 103.56±13.53 108.86±6.20 102.63±10.13 99.00(96.00,113.00) 37.30(34.25,38.73) 34.90(30.90,36.80) 33.40(31.80,35.60) 36.17±4.71
Z/t -0.549 -0.764 -1.279 -0.889 -0.479 -2.366 -1.992 1.631
P 0.587 0.474 0.217 0.374 0.632 0.018 0.046 0.141
项目 FIB/g/L TT/s
AI组(n=34) TAM组(n=7) TOR组(n=19) 联合用药组(n=9) AI组(n=34) TAM组(n=7) TOR组(n=19) 联合用药组(n=9)
治疗前 3.76(2.84,4.42) 3.30±0.69 3.49(3.10,4.11) 3.09±0.49 16.70(16.08,17.63) 16.90(15.50,17.60) 16.40(15.70,17.00) 16.00(15.75,16.70)
治疗后 3.44(2.95,4.03) 2.84±0.60 3.32(2.83,3.60) 3.07±0.79 17.15(16.48,17.75) 17.50(16.50,18.30) 16.70(15.90,17.90) 17.30(16.60,17.70)
Z/t -0.256 1.294 -1.389 0.077 -1.535 -2.371 -1.331 -2.073
P 0.798 0.243 0.165 0.941 0.125 0.018 0.183 0.038
项目 RDW-CV/% PLT(×109/L)
AI组(n=34) TAM组(n=7) TOR组(n=19) 联合用药组(n=9) AI组(n=34) TAM组(n=7) TOR组(n=19) 联合用药组(n=9)
治疗前 14.10(13.20,14.73) 15.29±1.76 15.10(13.60,15.90) 15.90±3.47 236.50(206.00,290.75) 278.00±65.52 226.79±78.29 239.78±72.58
治疗后 13.35(12.78,14.10) 13.31±0.99 13.40(13.10,14.80) 13.94±1.07 231.00(211.75,277.00) 219.86±33.70 221.37±70.40 201.44±56.42
Z/t -2.438 3.936 -2.509 1.914 -0.339 2.833 0.340 2.561
P 0.015 0.008 0.012 0.092 0.734 0.030 0.738 0.034
1
BRAY F, LAVERSANNE M, SUNG H, et al. Global cancer statistics 2022: GLOBOCAN estimates of incidence and mortality worldwide for 36 cancers in 185 countries[J]. CA: A cancer journal for clinicians, 2024, 74(3): 229-263.
2
姚一菲, 孙可欣, 郑荣寿. 《2022全球癌症统计报告》解读:中国与全球对比[J]. 中国普外基础与临床杂志, 2024, 31(7): 769-780.
3
吴杨凡, 刘明, 赵波, 等. 乳腺癌患者发生静脉血栓栓塞症诊疗过程和风险评估相关研究新进展[J]. 河北医学, 2020, 26(12): 2103-2106.
4
刘英超. 晚期恶性肿瘤患者凝血功能指标检测的临床意义[J]. 实用检验医师杂志, 2022, 14(1): 9-12.
5
LEI Z, GUO D. Significant difference between coagulation parameters and clinicopathological characteristics in breast cancer[J]. Blood coagulation and fibrinolysis, 2021, 32(8): 572-577.
6
颜丙芳, 夏兰兰, 孟玮. 乳腺癌患者血浆凝血四项水平的变化及临床意义[J]. 滨州医学院学报, 2021, 44(4): 270-271, 274.
7
中华人民共和国国家卫生健康委员会. 乳腺癌诊疗指南(2022年版)[EB/OL]. (2022-04-11)[2025-05-12].
8
张少华, 王晓稼, 江泽飞. 乳腺癌内分泌治疗专家共识(2023版)[J]. 中华医学杂志, 2023, 103(38): 2993-3001.
9
李凡, 任国胜. 乳腺癌诊治现状与展望[J]. 中国普外基础与临床杂志, 2019, 26(12): 1393-1397.
10
庞宏欣, 王卫, 李艳红. 乳腺癌术后内分泌治疗药物的应用研究进展[J]. 中国处方药, 2022, 20(10): 189-191.
11
BLONDON M, BODMER A, THOUVENIN L, et al. Differential impact of tamoxifen and aromatase inhibitors on thrombin generation: The prospective HEMOBREAST cohort[J]. Blood advances, 2022, 6(9): 2884-2892.
12
戴庆雪, 钟小芬. 不同TNM分期恶性肿瘤患者凝血功能、NLR检测及其临床意义[J]. 浙江创伤外科, 2024, 29(4): 701-703.
13
彭超, 全建峰. 凝血主要因素与恶性肿瘤相关性的研究进展[J]. 中国临床研究, 2021, 34(2): 243-247.
14
袁宝斌, 王俊, 李厚怀, 等. 胸腔镜辅助超声刀切除术治疗食管癌效果及对患者创伤程度、凝血功能及肺功能的影响[J]. 临床和实验医学杂志, 2021, 20(16): 1733-1738.
15
DIRIX L Y, OEYEN S, BUYS A, et al. Coagulation/fibrinolysis and circulating tumor cells in patients with advanced breast cancer[J]. Breast cancer research and treatment, 2022, 192(3): 583-591.
16
胡永伟, 白永颖, 张靖华. 乳腺癌患者血浆凝血参数的变化及临床意义[J]. 医学信息, 2023, 36(4): 113-117.
17
魏巍, 王华, 孙颖. 乳腺癌患者凝血四项、D-D水平与临床病理特征的相关性[J]. 临床医学, 2022, 42(11): 21-23.
18
CRONIN-FENTON D P, SØNDERGAARD F, PEDERSEN L A, et al. Hospitalisation for venous thromboembolism in cancer patients and the general population: A population-based cohort study in Denmark, 1997-2006[J]. British journal of cancer, 2010, 103(7): 947-953.
19
WALKER A J, CARD T R, WEST J, et al. Incidence of venous thromboembolism in patients with cancer - a cohort study using linked United Kingdom databases[J]. European journal of cancer, 2013, 49(6): 1404-1413.
20
FALANGA A, MARCHETTI M. Hemostatic biomarkers in cancer progression[J]. Thrombosis research, 2018, 164 Suppl 1: S54-S61.
21
HOTOLEANU C. Association between obesity and venous thromboembolism[J]. Medicine and pharmacy reports, 2020, 93(2): 162-168.
22
王德光, 王洪燕, 谭春玲, 等. 乳腺癌患者发生静脉血栓栓塞症危险因素分析[J]. 创伤与急危重病医学, 2021, 9(2): 116-119.
23
KAPOOR E, KLING J M, LOBO A S, et al. Menopausal hormone therapy in women with medical conditions[J]. Best practice & research. Clinical endocrinology & metabolism, 2021, 35(6): 101578.
24
SUN J, HAN K, XU M, et al. Blood viscosity in subjects with type 2 diabetes mellitus: Roles of hyperglycemia and elevated plasma fibrinogen[J]. Frontiers in physiology, 2022, 13: 827428.
25
刘秋颖, 陈锋, 崔婵娟, 等. 恶性肿瘤患者出现单纯凝血酶时间明显延长的原因探讨[J]. 检验医学, 2018, 33(10): 967-968.
26
HAN X, SONG X, XIAO Z, et al. Study on the mechanism of MDSC-platelets and their role in the breast cancer microenvironment[J]. Frontiers in cell and developmental biology, 2024, 12: 1310442.
27
LI S, LI L, LIN X, et al. Targeted inhibition of tumor inflammation and tumor-platelet crosstalk by nanoparticle-mediated drug delivery mitigates cancer metastasis[J]. American chemical society nano, 2022, 16(1): 50-67.
28
LAL I, DITTUS K, HOLMES C E. Platelets, coagulation and fibrinolysis in breast cancer progression[J]. Breast cancer research, 2013, 15(4): 207.
29
XU X R, ZHANG D, OSWALD B E, et al. Platelets are versatile cells: New discoveries in hemostasis, thrombosis, immune responses, tumor metastasis and beyond[J]. Critical reviews in clinical laboratory sciences, 2016, 53(6): 409-430.
30
SCHLESINGER M. Role of platelets and platelet receptors in cancer metastasis[J]. Journal of hematology & oncology, 2018, 11(1): 125.
31
黄冬琴, 覃韬, 谢显龙, 等. 脓毒症院内死亡与肝功能的关系及危险因素分析[J]. 广东医学, 2018, 39(5): 725-729.
32
LI X, LI Z, LI L, et al. Toremifene, an alternative adjuvant endocrine therapy, is better than tamoxifen in breast cancer patients with CYP2D6*10 mutant genotypes[J]. Cancer research and treatment, 2024, 56(1): 134-142.
33
SALVAGNO G L, SANCHIS-GOMAR F, PICANZA A, et al. Red blood cell distribution width: A simple parameter with multiple clinical applications[J]. Critical reviews in clinical laboratory sciences, 2015, 52(2): 86-105.
34
DEMIRKOL S, BALTA S, CAKAR M, et al. Red cell distribution width: A novel inflammatory marker in clinical practice[J]. Cardiology journal, 2013, 20(2): 209.
35
时慧, 赵邵林, 王加平. 血红蛋白与红细胞分布宽度比值对胃癌患者预后的预测价值[J]. 国际检验医学杂志, 2022, 43(19): 2421-2425.
36
LEE H S, JUNG E J, KIM J M, et al. The usefulness of red blood cell distribution width and its ratio with platelet count in breast cancer after surgery and adjuvant treatment: A retrospective study[J]. Gland surgery, 2022, 11(12): 1864-1873.
37
BAMBACE N M, HOLMES C E. The platelet contribution to cancer progression[J]. Journal of thrombosis and haemostasis, 2011, 9(2): 237-249.
38
季为军. 抗凝治疗对中晚期胃癌改善高凝状态,抗肿瘤转移的临床研究[J]. 世界复合医学, 2021, 7(12): 17-19, 23.
[1] 明昊, 宋宏萍, 白誉誉, 党晓智, 赵阳, 程燕妮, 王琪, 肖迎聪. 自动乳腺超声联合临床病理特征预测Luminal B 型乳腺癌术后复发风险的临床研究[J/OL]. 中华医学超声杂志(电子版), 2025, 22(04): 337-347.
[2] 卜烨, 王鹏, 安丽颖, 陈园. 三阴性乳腺癌组织长链非编码RNA CCAT1、miR-152表达与增殖侵袭基因以及临床病理特征的关系[J/OL]. 中华乳腺病杂志(电子版), 2025, 19(04): 198-205.
[3] 林丽, 杨英, 张嘉, 齐晓伟, 王莉, 王寅欢, 任林. 屈服应对方式在三阴性乳腺癌患者癌症复发恐惧与希望水平间的中介效应[J/OL]. 中华乳腺病杂志(电子版), 2025, 19(04): 226-231.
[4] 向征鸿, 施春晓, 何春梅, 王禧庆, 何磊. 全血粘弹性凝血功能监测技术对于川崎病患儿凝血功能检测的临床价值[J/OL]. 中华妇幼临床医学杂志(电子版), 2025, 21(03): 337-343.
[5] 安宁, 陈健, 张京伟, 习一清. 长链非编码RNA 乳腺癌抗雌激素耐药基因4 在常见肿瘤进展中的作用[J/OL]. 中华普通外科学文献(电子版), 2025, 19(03): 203-208.
[6] 杨娜, 胡刚, 潘越. 保乳术和改良根治术后行新辅助化疗对三阴性乳腺癌血清标志物影响[J/OL]. 中华普外科手术学杂志(电子版), 2025, 19(03): 345-348.
[7] 张剑飞, 沈鹤, 邱建宏, 赵新鸿. 男性和女性腺性膀胱炎临床特征及复发率的比较[J/OL]. 中华腔镜泌尿外科杂志(电子版), 2025, 19(05): 628-632.
[8] 韩亮, 叶云翔, 张玉艳, 张世科, 周高翔, 周宇豪, 李舒珏, 曾滔, 曾国华, 乔庐东, 吴文起. 上尿路结石合并尿真菌培养阳性患者的诊治经验[J/OL]. 中华腔镜泌尿外科杂志(电子版), 2025, 19(03): 340-345.
[9] 刘军, 王子函, 李梦新, 高国璇, 蒋宏传, 沈光前. 单孔机器人保乳手术初步探索[J/OL]. 中华腔镜外科杂志(电子版), 2025, 18(03): 162-165.
[10] 何永庆, 苍雪静, 姜亚志. 肠道微球菌科通过免疫介导与乳腺癌发生关联的孟德尔随机化研究[J/OL]. 中华细胞与干细胞杂志(电子版), 2025, 15(04): 193-198.
[11] 袭厚榕, 隋晓峰. 基于生物信息学分析乳腺癌组织STIP1表达在免疫浸润中的作用[J/OL]. 中华细胞与干细胞杂志(电子版), 2025, 15(04): 208-216.
[12] 方九强, 翟雨, 杨俊峰, 沈斌. 颅内血肿清除术联合去骨瓣减压术治疗创伤性颅脑损伤患者的效果分析[J/OL]. 中华神经创伤外科电子杂志, 2025, 11(03): 160-166.
[13] 高晶, 张琳, 申鑫. AIMS65、Child-Pugh和MELD评分系统联合凝血功能指标对肝硬化并发慢加急性肝衰竭的预测价值[J/OL]. 中华消化病与影像杂志(电子版), 2025, 15(04): 352-358.
[14] 刘麒, 陈萍, 曹筱璇, 周梅, 张斌强, 朱文博. 幽门螺杆菌感染对帕金森病患者疾病进展及外周炎症因子、凝血功能指标特征的相关性研究[J/OL]. 中华消化病与影像杂志(电子版), 2025, 15(03): 262-266.
[15] 李兴研, 郜业发. 乳腺癌保乳术后放疗致急性放射性皮炎风险预测模型构建及验证[J/OL]. 中华卫生应急电子杂志, 2025, 11(03): 165-169.
阅读次数
全文


摘要


AI


AI小编
你好!我是《中华医学电子期刊资源库》AI小编,有什么可以帮您的吗?